2019-06-25 10:28:00
在手机上看
扫描二维码手机打开
亲们或许不知道Raptor判断一个年份是不是闰年的详细操作,那么今天小编就讲解哦,希望能够帮助到大家呢。
打开软件
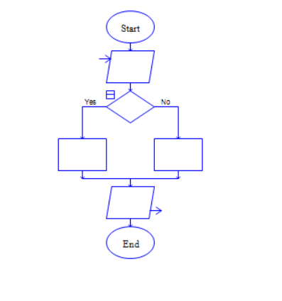
在 Start 和 End之间添加 输出 选择 赋值 赋值 输出 符号。添加完后如图所示

双击输出框,在上方输入"input a number" 下方输入 x

双击判断框 输入 x mod 4=0 and x mod 100!=0 or x mod 400=0

在左侧输入框上输入 result 下方输入 "YES",在右侧输入框上方输入 result 下方输入 "NO"


双击输出框 输入 result 完成程序框图设计 如图所示

运行流程
点击上方小箭头运行程序

小编以2000年为例 输入2000 最终结果为 YES


各位小伙伴们,看完上面的精彩内容,都清楚Raptor判断一个年份是不是闰年的简单操作方法了吧!
相关文章
更多>>软件推荐
精彩专题
+更多软件排行
全平台短剧刷不停定制版
蚂蚁阿福免费正版
Le-Fit免费正版
血压管理助手自定义版
吉速好剧手机版
叶罗丽魔法贴图安卓